Contoh Makalah Manajemen Asset Dan Leability
MANAJEMEN ASSET DAN LIABILITAS alma Materi kuliah ke 4 Manajemen Dana Bank Oleh. Forex Manajemen adalah koordinasi pengelolaan assets dan liabilities dalam berbagai valuta dalam usaha.
Doc Makalah Manjeman Asset Dan Liability Docx Yudho Septian Academia Edu
Asset and Liability Management ALMA adalah suatu usaha untuk mengoptimumkan struktur neraca bank sedemikian rupa agar diperoleh laba maksimal dan sekaligus membatasi resiko menjadi sekecil mungkin.

Contoh makalah manajemen asset dan leability. Jenis-jenis liabilitas dan contoh penrapannya baik dalam kehidupan sehari-hari maupun dalam penerapan perkembangan usaha dan bisnis. Using descriptive analysis the study explores basic approaches used in. Peni Sawitri MM ALMA.
Contoh keputusan dalam manajemen valuta asing adalah penjualan asset valuta asing dan menaikkan dana valas. Pengelolaan neraca dalam perbankan dalam usaha untuk mengoptimumkan struktur neraca bank sedemikian rupa sehingga diperoleh laba yang maksimal dan sekaligus membatasi resiko sekecil mungkin Proses planning organizing actuating dan controlling untuk mendapatkan penetapan. Manajemen asset dan liabilitas bank syariah.
Jenis-Jenis Aset Beserta Ragam Contoh Terlengkap. Apa yang dimaksud dengan manajemen aset asset managementPengertian manajemen aset adalah proses pengambilan keputusan dan penerapannya sesuai dengan akuisisi penggunaan dan pembagian dari suatu aset. Makalah tentang manajemen aset dan leability bank.
MANAJEMEN ASET DAN LIABILITAS BANK SYARIAH Radia Purbayati SE MAB. MANAJEMEN ASSET DAN LIABILITAS ALMA Pendahuluan. Aset manajemen sistem asset management system adalah contoh aplikasi manajemen aset yang digunakan perusahaan dalam mengelola siklus manajemen aset.
Sejak tahun 1970 Asset and Lyrics Management ALMA mengalami perkembangan yang sangat pesat dan memegang peran penting dalam pengelolaan dana bank. Salah satu perencanaan yang baik itu adalah mengusahakan pemakaian dana asset dan mengupayakan sumber dana liability untuk menjaga keseimbangan yang tidak merugikan bank. Dan pengelolaan asset and liability management ALMA dalam mencapai profitabilitas bank yang tinggi.
Manajemen Forex dalam Manajemen Aset dan Liability Bank Syariah. Tujuannya untuk mendukung strategi dan taktis ALMA bank dalam mencapai tujuan-tujuan operasional lainnya dan mencapai tujuan penghasilan bank. Yang berperan penting dalam melakukan perencanaan terhadap aset dan libilitas adalah Manajemen aktiva dan pasiva yang biasa disebut dengan Asset Liability Management ALMA.
Pengertian manajemen aset dan liabilitasasset and liability manajement alma Asset adalah sebuah sumber daya yang dimiliki atau dikendalikan oleh perusahaan sebagai akibat dari peristiwa masa lalu dan dari mana beberapa manfaat ekonomi masa depan s dapat diharapkan mengalir ke perusahaan. Sedangkan model teoritis pendukung promosi kontrak profit dan loss-sharing partisipasi bank dalam instrumen ini rendahHasilnya adalah bahwa deposan cenderung menghindari risiko sehingga bank menjadi penghindar resiko risk averse. Contoh sederhananya adalah garansi atas produk.
Apabila manajemen aset dan liabilitas tidak tepat dalam mengelola aset dan liabilitas dengan baik dan tepat sasaran maka berbagai risikoakan timbul seperti risiko kecukupan modal dan risiko likuiditas serta bank. Meskipun mereka mungkin memiliki peluang investasi yang baik atas dasar profit and loss sharing mereka mungkin. Makalah manjeman asset dan liabilitydocx.
Masalah Manajemen aset daerah merupakan suatu proses yang sistematis dan terstrukturyang mencakup seluruh siklus hidup aset. Esensi utama adalah terpenuhinya asas efisiensi di mana pengelolaan aset milik daerah diarahkan agar sesuai dengan batasan-batasan standar kebutuhan yang diperlukan dalam menunjang penyelenggaraan tugas dan fungsi pemerintah secara optimal. Aset dan liabilitas pada setiap bank ini dikelola oleh Assets dan Liability Committee ALCO yang secara organisasi tidak terlihat dalam struktur organisasi namun kegiatannya ada dan dikelola dalam.
Di bawah ini adalah contoh tim manajemen metrik dan investor melihat ketika menganalisis perusahaan dan melakukan analisis keuangan. Sedangkan contoh kebijakan manajemen valuta asing antara lain menetapkan. Dalam mempelajari ALMA ada kategori resiko antara lain.
Dilihat dari pengertian-pengertian di atas dapat disimpulakna bahwa Asset dan Liability manajemen ALMA adalah suatu proses perencanaan pengorganisasian dan pengawasan melalui pengumpulan proses analisa laporan dan menetapkan strategi terhadap asset dan liability guna mengeliminasi risiko antara lain risiko likuiditas risiko bunga bank. Asset Liability Management ALMA Pengelolaan aset dan kewajiban harus diimplementasikan tidak hanya di kantor pusat melainkan ke seluruh kantor yang melakukan kegiatan bisnis. Manajemen Pricing suatu kegiatan manajemen untuk menentukan tingkat suku bunga dari produk-produk yang ditawarkan bank baik di sisi asset maupun liabilities.
Selain itu untuk menerapkan manajemen aset perusahaan bisa mengoptimalkan fungsi dan manfaat rasio keuangan. Pentingnya Manajemen Forex harus dikelola dengan baik agar tidak menimbulkan kerugian dan dapat menjaga likuiditas setiap mata uang yang dibutuhkan. Selain itu ada juga yang menjelaskan bahwa asset management adalah suatu proses sistematis yang bertujuan untuk mempertahankan membaharukan dan mengoperasikan.
Kewajiban ini tidak dicatatkan dalam pembukuan namun ditunjukkan di dalam neraca. Dosen Program Studi Keuangan dan Perbankan Jurusan Akuntansi Politeknik Negeri Bandung Abstract This paper aims to describe Asset and Liability Management ALMA application in sharia bank. Asset and Liability Management ALMA adalah suatu usaha untuk mengoptimalkan struktur neraca bank sedemikian rupa agar diperoleh laba maksimal dan sekaligus membatasi resiko menjadi sekecil mungkin.
Pengelolaan aset dan liabilitas tersebut disebut dengan Manajemen Aset dan Liabilitas yang dikenal dengan ALMA Asset and Liability Management. Aset Manajemen atau Manajemen Aset adalah penggunaan fungsi manajemen untuk mengelola aset perusahaan.
Http Myunanto Staff Gunadarma Ac Id Downloads Files 60592 5 Materi Aset 26 Liabilitas Bank Pdf
Doc Makalah Alma Asset And Liabilities Management Dianah Aprilianingsih Academia Edu
Contoh Makalah Manajemen Pasiva Mata Kuliah Asset Liabilities Management Alma Download Doc Ahsinun Niam
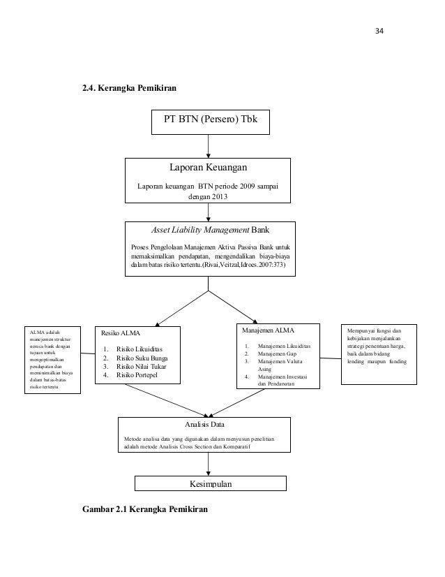
Analisis Asset Liability Management Pada Pt Btn Persero Tbk Peri
Assets And Liabilities Management In Banking Ppt Download
Mengenal Lebih Dekat Dengan Asset Liability Management Alma Proxsisgroup
Contoh Daftar Isi Buku Laporan Makalah Proposal Skripsi Buku Proposal Keuangan
10 Contoh Kertas Kerja Audit Dan Cara Membuatnya Kertas Tanggal
Posting Komentar untuk "Contoh Makalah Manajemen Asset Dan Leability"